IKLAN

SURAT KEBENARAN IBU BAPA UNTUK LAWATAN

Sekiranya tuan puan memberi kebenaran untuk anak tuanpuan menyertai proram ini sila lengkapkan dan kembalikan jawapan yang dilampirkan bersama surat ini sebelum 184104 Jumaat beserta bayaran RM15. Memohon lawatan sambil belajar ke kilang perabot persatuan alam sekitar.


Doc Contoh Surat Kebenaran Ibu Bapa Dol Juan Academia Edu

SURAT KEBENARAN MELANCONG DI BAWAH PERATURAN PElANCONGAN SEKOLAH-SEKOLAH 1957 Kebenaran adalah diberi kepada 14 orang guru dan 74 orang murid SEKOLAH KEBANGSAAN PENDANG untuk membuat lawatan sambil belajar ke BUKIT MERAH LAKE TOWN RESORT pada 23.

. 7 30 pagi 2 00 petang. 092014 mengikut jadual yang dikembarkan ini sahaja. Surat Pengesahan Gaji Ibu Bapa.

8 februari 2012 cara b. Format surat kebenaran ibubapa bagi aktiviti sekolah adalah seperti berikut. Contoh Format Surat Kebenaran Ibu BapaPenjaga.

Surat Kebenaran Ibu Bapa Untuk Lawatan. Semasa lawatan pula guru perlu memastikan keselamatan murid dokumen dokumen penting ada seperti kebenaran ibu bapa serta permit bas. Contoh Surat Kebenaran Ibu Bapa semasa menyertai aktiviti- Rujuk lampiran Anggaran Perbelanjaan Untuk Aktiviti Lawatan Sambil Belajar Ke Balai Polis Sarikei.

Surat Kebenaran Ibu Bapa Untuk Aktiviti Kokurikulum Aktiviti Ini Boleh Dijalankan Di Sehubungan Dengan Itu Di Sini Admin Mengongsikan 38 Contoh Surat Menyurat Berkaitan Pengurusan Kokurikulum Ini Khususnya Untuk Kegunaan. Surat Kebenaran Lawatan. Tuan Undang-Undang Pelancongan Sekolah 1957 Surat Kebenaran Daripada Ibu Bapa Dengan segala hormatnya perkara di atas dirujuki.

Guru Besar Sekolah Kebangsaan Bandar Baru Uda 2 Jalan Padi Mahsuri 81200 Johor Bahru. Ibu bapapenjaga hendaklah menghantar anak selewat-lewat pukul 800 pagi di sekolah pada hari tersebut. Dengan ini memberi pengakuan bahawa saya membenarkan anak saya anak jagaan saya seperti nama.

BP MALL BATU PAHAT Anjuran. PENDIDIKAN DAERAH PONTIAN Kelolaan. Hal Ehwal Murid - Prosedur Lawatan Pendidikan Murid Sekolah.

Surat Akuan Kebenaran. Format Contoh Surat Kebenaran Lawatan Ibu Bapa yang Baik dan Benar 2019. Tuan Undang-Undang Pelancongan Sekolah 1957 Surat Kebenaran Daripada Ibu Bapa Dengan segala hormatnya perkara di atas dirujuki.

Contoh Surat Kebenaran Lawatan Ibu Bapa have a graphic associated with the otherContoh Surat Kebenaran Lawatan Ibu Bapa It also will include a picture of a kind that may be seen in the gallery of Contoh Surat Kebenaran Lawatan Ibu Bapa. You have just read the article entitled Contoh Surat Kebenaran Ibu Bapa Mengadakan Kajian Kes. Anda juga harus letakkan tarikh dan lokasi aktiviti tersebut.

Contoh Surat Kebenaran Ibubapa Aktiviti Sukan Lawatan Dan Kokurikulum Di Sekolah Portal Cikgu. SURAT AKUAN KEBENARAN IBU BAPAPENJAGA MENYERTAI AKTIVITI KOKURIKULUM LUAR Saya Nama. Doc Contoh Surat Kebenaran Ibu Bapa Dol Juan Academia Edu.

Tahun Kelas. Dengan segala hormatnya saya merujukSekiranya ibu bapa penjaga bekerja sendiri dengan pendapatan kasar yang tidak dikenakan cukai perlu dikemukakan salinan surat pengesahan salinan kad pengenalan dan salinan penyata gaji atau surat pengesahan pendapatan penjamin yang mempunyai cop. You can also bookmark this page with the URL.

Bahagian hal ehwal pelajar alumni kolej universiti islam melaka kuim kuala sungai baru 78200 melaka 06-3878435 tel 06-3878986 fax surat kebenaran ibu. Persatuan matematik dari sekolah kebangsaan taman perling ingin memohon kebenaran pihak tuan untuk mengadakan satu lawatan sambil belajar ke kilang tuan. Nama dan Alamat Ibu BapaPenjaga Tarikh.

KEM PEMILIHAN BOLING PENDIDIKAN KHAS DAERAH PONTIAN Tarikh. Surat tersebut harus menerangkan secara terperinci tentang tujuan khusus surat itu dikeluarkancontohnyalawatan sambil belajar zoo negara. Surat kebenaran ibu bapa kpm.

Dimaklumkan bahawa pihak sekolah akan mengadakan kem kepimpinan pemimpin muda seperti butiran di bawah tarikh. The collection that comprising chosen. Surat Kebenaran Ibu Bapa 2.

Surat kebenaran ibu bapa telah diedarkan dan sudah pun mendapat jawapannya. Contoh surat akuan kebenaran ibu bapa. Adalah disahkan bahawa pihak sekolah telah mendapat kebenaran daripada ibu bapa bagi membawa seramai 30 orang murid untuk mengikuti lawatan sambil belajar ke Petrosains Negara pada 08 Jun 2020.

Doc Borang Kebenaran Ibubapa Aktiviti Pelajar 1 Ibnu Ayob Academia Edu. 13 surat kebenaran ibu bapa 14 surat kebenaran tempat lawatan 15 surat kebenaran pelancongan tuan. Contoh surat kiriman rasmi.

Adalah saya ibubapapenjaga kepada pelajar yang namanya seperti di atas memberi KEBENARAN kepada pihak berkuasa di Hospital untuk menggunakan ubat bius dan menjalankan pembedahan ke atas pelajar di bawah jagaan saya jika difikirkan perlu. Saya percaya pihak sekolah akan bertanggungjawab untuk memastikan keselamatan murid- murid semasa lawatan atau semasa berada dalam kawalan sekolah dan pihak sekolah akan mengambil tindakan yang perlu dan wajar bagi memastikan keselamatan murid-murid semasa aktivitilawatan tersebut. Surat Kebenaran Ibu Bapa Untuk Lawatan.

Surat Kebenaran Ibubapa. Surat akuan dan kebenaran ibu bapa penjaga kepada. Surat Kebenaran Lawatan Muriddoc.

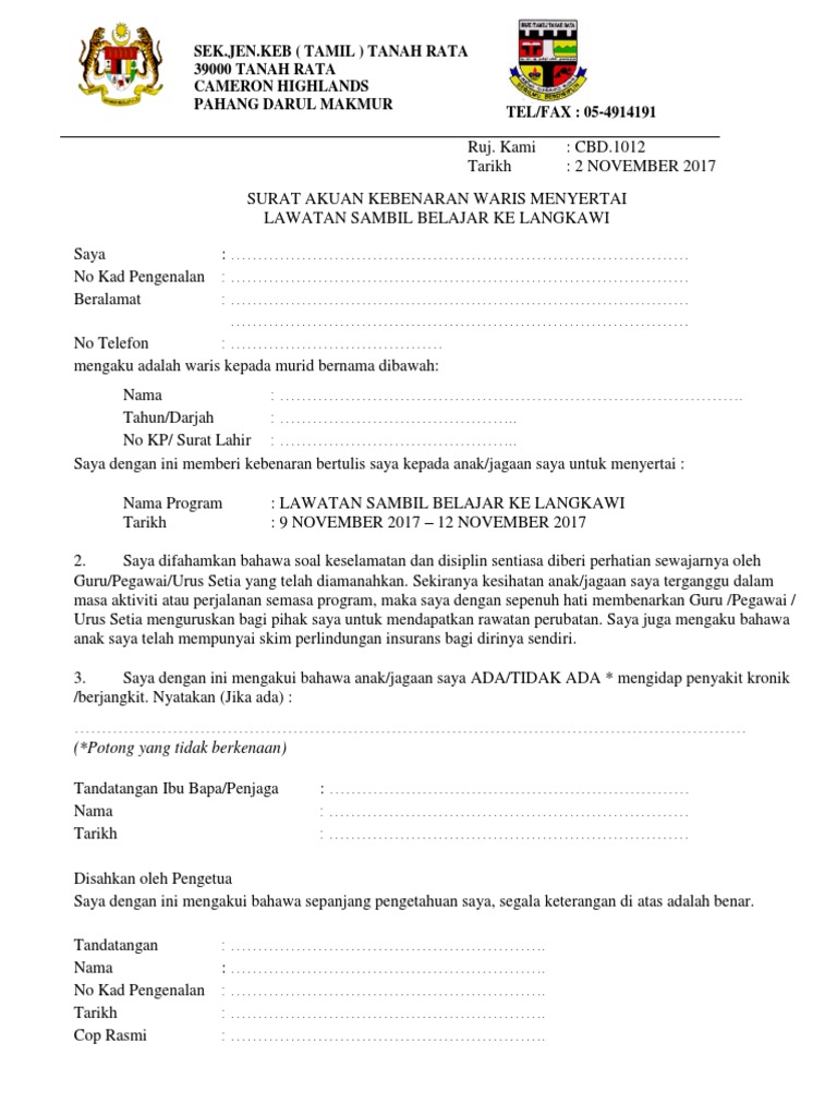
Surat minta kebenaran ibu bapa penjaga 7. Kertas Kerja Format SPSK 2016. Mengaku adalah waris kepada murid bernama di bawah.

Aspek peruntukan - tidak perlu DISEDIAKAN OLEH. Documents Similar To Surat Kebenaran Ibu Bapa Untuk Lawatan. Surat kebenaran juga harus dicop dan disahihkan oleh pegawai atau pihak berkuasa yang terlibat untuk mensahihkan kebenaran surat tersebut.

Surat kiriman rasmi farah adila binti azmypersatuan yang anda anggotai di sekolah bercadang hendak mengadakan lawatan sambil belajar ke sebuah tempat. Zalina Bt Din Zalina. Saya dengan ini memberi kebenaran bertulis saya kepada anak jagaan saya untuk menyertai.

6 MEI 2014 730 AM Tempat. Sebelum lawatan guru perlu membuat mesyuarat pembentukan ajk menyediakan kertas kerja membuat surat kebenaran ke tempat lawatan kebenaran ppd kebenaran jps kebenaran ibu bapa. Surat Kebenaran Ibu Bapa Untuk Lawatan.

Surat pengesahan pelajar sekolah menengah surat pekeliling in english surat pengesahan majikan pemohon surat pengesahan majikan untuk pinjaman bank surat pengesahan jawatan guru surat lamaran pekerjaan contoh cover letter bahasa indonesia surat pelepasan pkp in english surat pengesahan jawatan swasta. Adalah disahkan bahawa pihak sekolah telah mendapat kebenaran daripada ibu bapa bagi membawa seramai 80 orang murid untuk mengikuti lawatan sambil belajar ke Penjara Kajang Selangor pada 11 Oktober 2010. Sijil kematian ibu bapa e.

Carousel Previous Carousel Next. Contoh Lembaran Kerja PJ Melompat Sebelah Kaki Diunggah oleh. KP Surat Lahir.

Aspek perbelanjaan- Cenderahati buah-buahan untuk pihak polis RM1500- Pengangkutan - tiada. SK SULTAN YUSSUF 31000 BATU GAJAH PERAK. Tuan Puan Kebenaran Untuk Menyertai Aktiviti.


Lawatan Ke Kilang Batik Surat Kebenaran Ibu Bapa


Contoh Surat Kebenaran Penjaga Untuk Lawatan


Surat Kebenaran Ibu Bapa Untuk Lawatan Pdf


Surat Kebenaran Ibu Bapa Petrosains Pdf


Surat Akuan Dan Kebenaran Ibubapa Pdf


Surat Kebenaran Ibubapa Pdf


Surat Kebenaran Ibu Bapa Lawatan Sambil Belajar Pdf


Surat Kebenaran Ibu Bapa Ke Luar Negara Pdf


Surat Kebenaran Ibu Bapa Untuk Lawatan Englshmila

0 Response to "SURAT KEBENARAN IBU BAPA UNTUK LAWATAN"

Post a Comment

Iklan Atas Artikel

Iklan Tengah Artikel 1

Iklan Tengah Artikel 2

Iklan Bawah Artikel